Featured Publications
Our Work Has Been Featured In

48. Complex 3-dimensional microscale structures for quantum sensing applications
B. Blankenship†, Z. Jones†, N. Zhao, H. Singh, A. Sarkar, R. Li, E. Suh, A. Chen, C. Grigoropoulos*, A. Ajoy* [PDF] [SI]
arXiv:2307.15233 — Nano. Lett. 23, 9272 (2023)
Spotlighted by Berkeley Engineering: Researchers demonstrate new 3D printing technique for quantum sensors.

47. Electron induced nanoscale nuclear spin relaxation probed by hyperpolarization injection
W. Beatrez, A. Pillai, O. Janes, D. Suter, A. Ajoy* [PDF] [SI]
arXiv:2207.02827 — Phys. Rev. Lett. 131,010802 (2023).
Watch nuclear spins directly probing proximal electron relaxation: [Video 1] , [Video 2] , [Video 3] .

46. Optical and electronic spin properties of fluorescent micro- and nanodiamonds upon prolonged ultrahigh-temperature annealing
N. Nunn, S. Milikisiyants, M. Torelli, R. Monge, T. Delord, A. I. Shames, C. Meriles, A. Ajoy, A. I. Smirnov, O. Shenderova [PDF]
Journal of Vacuum Science & Technology B 41, 042206 (2023)
Spotlighted as a Featured article in JVST.

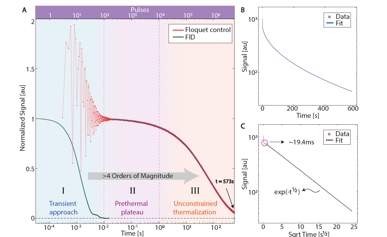
45. Critical prethermal discrete time crystal created by two-frequency driving
W. Beatrez†, C. Fleckenstein†, A. Pillai, E. Sanchez, A. Akkiraju, J. Alcala, S. Conti, P. Reshetikhin, E. Druga, M. Bukov*, A. Ajoy* [PDF]
arXiv:2201.02162 — Nature Physics 19, 407 (2023)
Watch the formation and melting of a time-crystal: [Video 1] , [Video 2] , [Video 3] .

44. Rapidly enhanced spin polarization injection in an optically pumped spin ratchet
A. Sarkar, B. Blankenship, E. Druga, A. Pillai, R. Nirodi, S. Singh, A. Oddo, P. Reshetikhin, A. Ajoy* [PDF] [SI]
arXiv:2112.07223 — Phys. Rev. Applied 18, 034079 (2022).

43. High-Field Magnetometry with Hyperpolarized Nuclear Spins
O. Sahin, E. d. L. Sanchez, S. Conti, A. Akkiraju, P. Reshetikhin, E. Druga, A. Aggarwal, B. Gilbert, S. Bhave, A. Ajoy* [PDF] [SI]
arXiv:2112.11612 — Nature Communications 13, 5486 (2022)
Selected as Editors Highlight by Nature Communications
Spotlighted by News & Views in Nature Physics: Magnetometry goes nuclear [pdf]


41. Continuously tracked, stable, large excursion trajectories of dipolar coupled nuclear spins
O. Sahin†, H. Al Asadi†, P. Schindler†, A. Pillai, E. Sanchez, M. Markham, M. Elo, M. McAllister, E. Druga, C. Fleckenstein, M. Bukov, A. Ajoy* [PDF]
arXiv:2206.14945 — Phys. Rev. Research (in press) (2025).
Watch the contrinuous tracking of stabilized spin trajectories: [Video] .

40. Beauty Beyond the Eye: Color Centers in Diamond Particles for Imaging and Quantum Sensing Applications
N. Nunn, M. Torelli, A. Ajoy, A. Smirnov, O. Shenderova [PDF]
Rev. Adv. Chem., 12, 1, (2022).

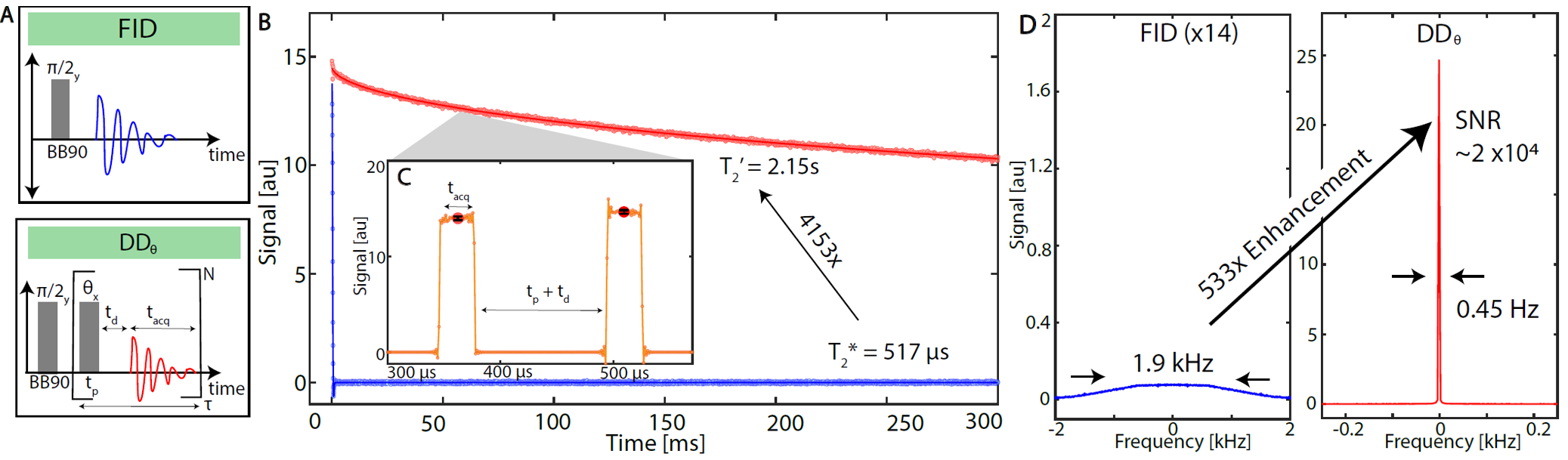
39. Floquet prethermalization with lifetime exceeding 90s in a bulk hyperpolarized solid
W. Beatrez, O. Janes, A. Akkiraju, A. Pillai, A. Oddo, P. Reshetikhin, E. Druga, M. McAllister, M. Elo, B. Gilbert, D. Suter, A. Ajoy* [PDF]
arXiv:2104.01988 -- Phys. Rev. Lett. 127, 170603 (2021).
Selected as Editors Suggestion by PRL
Spotlighted by Physics at PRL: Delaying Thermalization in a Periodically Driven System
Spotlighted in Nature Physics: Keep the spins spinning

38. "Galton board" nuclear hyperpolarization
M. Elanchezhian, A. Pillai, T. Virtanen, A. Ajoy* [PDF]
arXiv:2110.05742

37. Low-field microwave-mediated optical hyperpolarization in optically pumped diamond
A. Ajoy, A. Sarkar, E. Druga, P. Zangara, D. Pagliero, C. A. Meriles, and J. A. Reimer [PDF]
Journal of Magnetic Resonance 331, 107021 (2021).

36. Background-free dual-mode optical and 13C magnetic resonance imaging in diamond particles
X. Lv, J.H. Walton, E. Druga, F. Wang, A. Aguilar, T. McKnelly, R. Nazaryan, F. L. Liu, L. Wu, O. Shenderova, D. B. Vigneron, C. A. Meriles, J. A. Reimer, A. Pines, A. Ajoy* [PDF] [SI]
arXiv:1909.08064 — Proc. Natl. Acad. Sci. USA 118, 21 (2021).
Highlight by Berkeley news: Diamonds engage both optical microscopy and MRI for better imaging,
OSA: Dual-Mode Imaging with Diamond Particles, Physics World, Tech Explorist, and by 10+ news outlets including EurekAlert!, ScienMag, Phys.org, Science Daily.

35. Magnetic field induced delocalization in hybrid electron-nuclear spin ensembles
D. Pagliero†, P.R. Zangara†, J. Henshaw, A. Ajoy, R.H. Acosta, J. Reimer, A. Pines, C.A. Meriles [PDF]
Phys. Rev. B 103, 064310 (2021)

34. Nuclear spin temperature reversal via continuous radio-frequency driving
P.R. Zangara†, D. Pagliero†, A. Ajoy, R.H. Acosta, J.A. Reimer, C.A. Meriles [PDF]
Phys. Rev. B 103, 085205 (2021)

33. Imaging Sequences for Hyperpolarized Solids
X. Lv, J. Walton, E. Druga, R. Nazaryan, H. Mao, A. Pines, A. Ajoy, J.A. Reimer [PDF]
Molecules 2021, 26(1), 133

32. High temperature annealing enhanced diamond 13C hyperpolarization at room temperature
M. Gierth, V. Krespach, A. I. Shames, P. Raghavan, E. Druga, N. Nunn, M. Torelli, R. Nirodi, S. Le, R. Zhao, A. Aguilar, X. Lv, M. Shen, C. A. Meriles, J. A. Reimer, A. Zaitsev, A. Pines, O. Shenderova, and A. Ajoy* [PDF]
arXiv:1911.03322 — Advanced Quantum Technologies 2000050 (2020) .

31. Dynamical decoupling in interacting systems: applications to signal-enhanced hyperpolarized readout
A. Ajoy*, R. Nirodi, A. Sarkar, P. Reshetikhin, E. Druga, A. Akkiraju, M. McAllister, G. Maineri, S. Le, A. Lin, A. M. Souza, C. A. Meriles, B. Gilbert, D. Suter, J. A. Reimer, and A. Pines [PDF]
arXiv:2008.08323

30. High-fidelity Trotter formulas for digital quantum simulation
Y.X. Liu, J. Hines, Z. Li, A. Ajoy, and P. Cappellaro [PDF]
arXiv:1807.07664 — Phys. Rev. A (Rapid Comm.), 102, 010601(R), (2020).

29. Optically pumped spin polarization as a probe of many-body thermalization
D. Pagliero, P. R. Zangara, J. Henshaw, A. Ajoy, R. H. Acosta, J. A. Reimer, A. Pines, C. A. Meriles [PDF] [SI]
arXiv:2005.00647 — Science Advances 16, eaaz6986 (2020) .